Приказ Департамента по тарифам Новосибирской области от 16.09.2025 № 196-Г/НПА
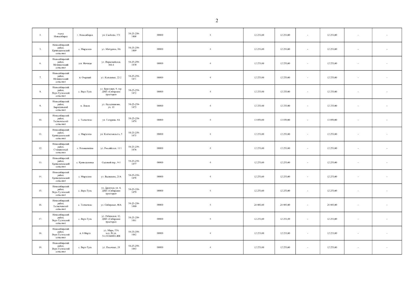
"Об утверждении размера экономически обоснованных расходов Общества с ограниченной ответственностью "Техногаз" на выполнение мероприятий по подключению (технологическому присоединению) газоиспользующего оборудования к газораспределительным сетям в рамках догазификации и в рамках догазификации котельных за 2 квартал 2025 года"
(Зарегистрирован 16.09.2025 № 196-Г/НПА)
"Об утверждении размера экономически обоснованных расходов Общества с ограниченной ответственностью "Техногаз" на выполнение мероприятий по подключению (технологическому присоединению) газоиспользующего оборудования к газораспределительным сетям в рамках догазификации и в рамках догазификации котельных за 2 квартал 2025 года"
(Зарегистрирован 16.09.2025 № 196-Г/НПА)
Номер опубликования: 5401202509240002
Дата опубликования:
24.09.2025
