Официальное опубликование правовых актов
ОФИЦИАЛЬНОЕ ОПУБЛИКОВАНИЕ
Приказ Министерства строительства Новосибирской области от 11.11.2024 № 196-НПА
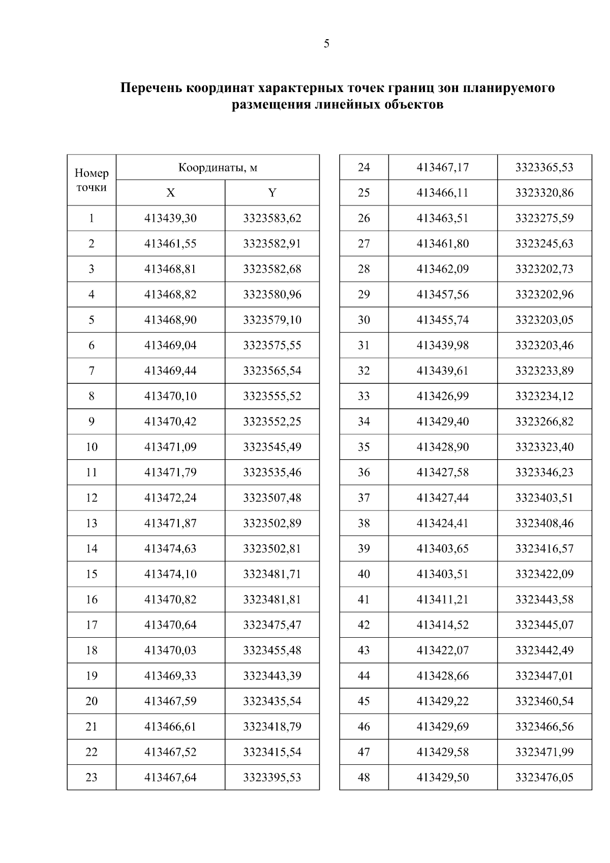
"Об утверждении проекта планировки территории и проекта межевания территории в его составе для реконструкции автомобильной дороги "Новосибирск – Кочки – Павлодар (в пред. РФ)" на участке км 108+251,85 – км 108+751,91 в границах рабочего поселка Ордынское и Вагайцевского сельсовета Ордынского района Новосибирской области"
(Зарегистрирован 11.11.2024 № 196-НПА)
Номер опубликования: 5401202411130003
Дата опубликования: 13.11.2024
Страница №8 из 19:
Увеличить