Официальное опубликование правовых актов
ОФИЦИАЛЬНОЕ ОПУБЛИКОВАНИЕ
Приказ Министерства строительства Новосибирской области от 02.07.2024 № 128-НПА
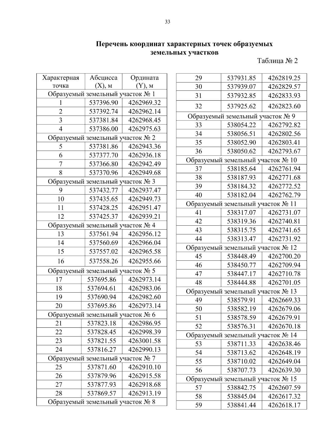
"Об утверждении проекта планировки территории для размещения объекта регионального значения: "Строительство двухцепной ВЛ 110 кВ от ВЛ 110 кВ Ояш — Моховая с отпайкой на ПС Чебула (В-6) для технологического присоединения ПС 110 кВ Кубово" в границах Мошковского района Новосибирской области и проекта межевания территории в его составе"
(Зарегистрирован 02.07.2024 № 128-НПА)
Номер опубликования: 5401202407030005
Дата опубликования: 03.07.2024
Страница №34 из 41:
Увеличить