Официальное опубликование правовых актов
ОФИЦИАЛЬНОЕ ОПУБЛИКОВАНИЕ
Приказ Министерства строительства Новосибирской области от 02.07.2024 № 127-НПА
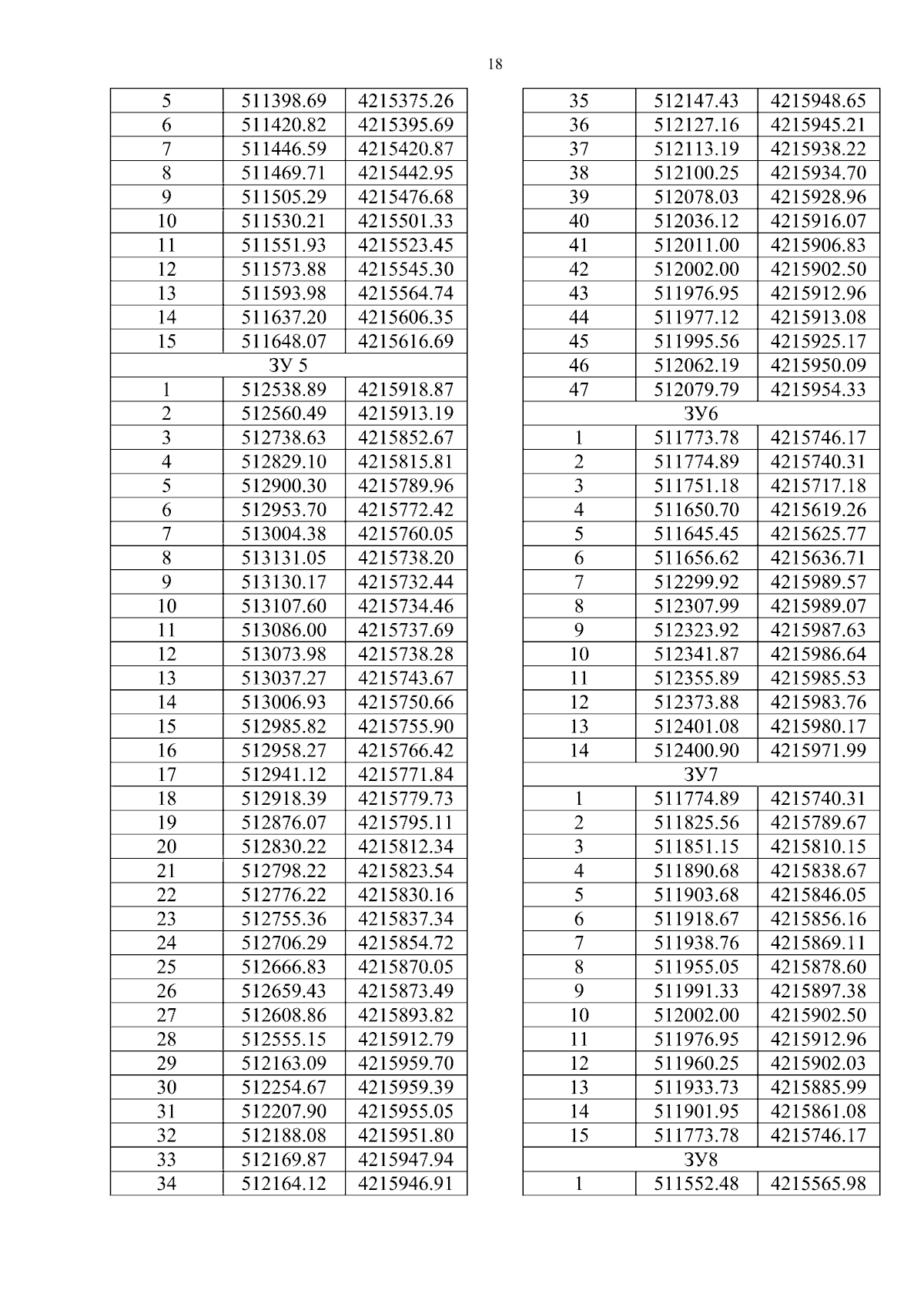
"Об утверждении проекта планировки территории и проекта межевания территории в его составе для реконструкции автомобильной дороги "23 км а/д "Н-2141" - Локти (в гр. района)" в границах Барлакского сельсовета Мошковского района Новосибирской области"
(Зарегистрирован 02.07.2024 № 127-НПА)
Номер опубликования: 5401202407030004
Дата опубликования: 03.07.2024
Страница №22 из 27:
Увеличить