Официальное опубликование правовых актов
ОФИЦИАЛЬНОЕ ОПУБЛИКОВАНИЕ
Приказ Министерства строительства Новосибирской области от 18.06.2024 № 115-НПА
"О внесении изменений в приказ министерства строительства Новосибирской области от 26.04.2022 № 235"
(Зарегистрирован 18.06.2024 № 115-НПА)
Номер опубликования: 5401202406200008
Дата опубликования: 20.06.2024
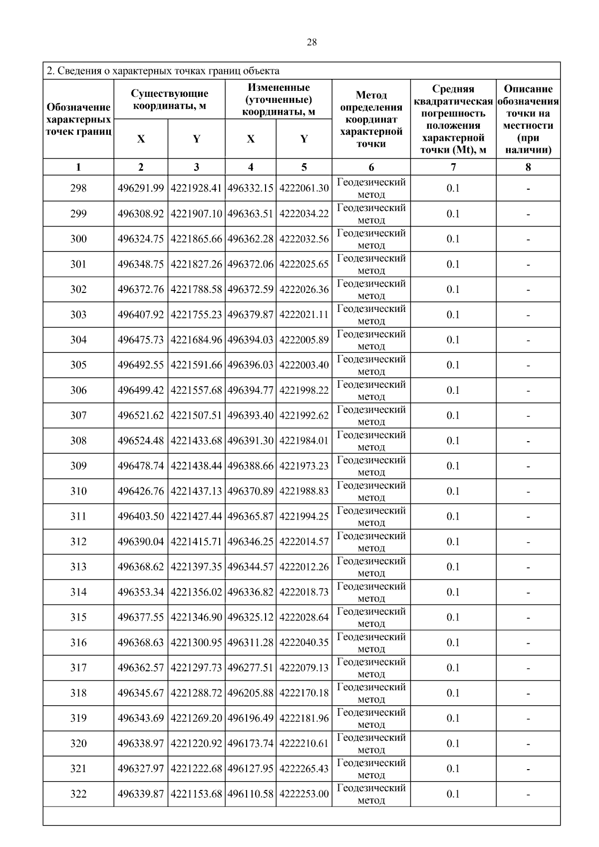
Страница №36 из 85:
Увеличить