Официальное опубликование правовых актов
ОФИЦИАЛЬНОЕ ОПУБЛИКОВАНИЕ
Приказ Министерства строительства Новосибирской области от 07.06.2024 № 104-НПА
"О внесении изменения в приказ министерства строительства Новосибирской области от 24.11.2020 № 610"
(Зарегистрирован 07.06.2024 № 104-НПА)
Номер опубликования: 5401202406100010
Дата опубликования: 10.06.2024
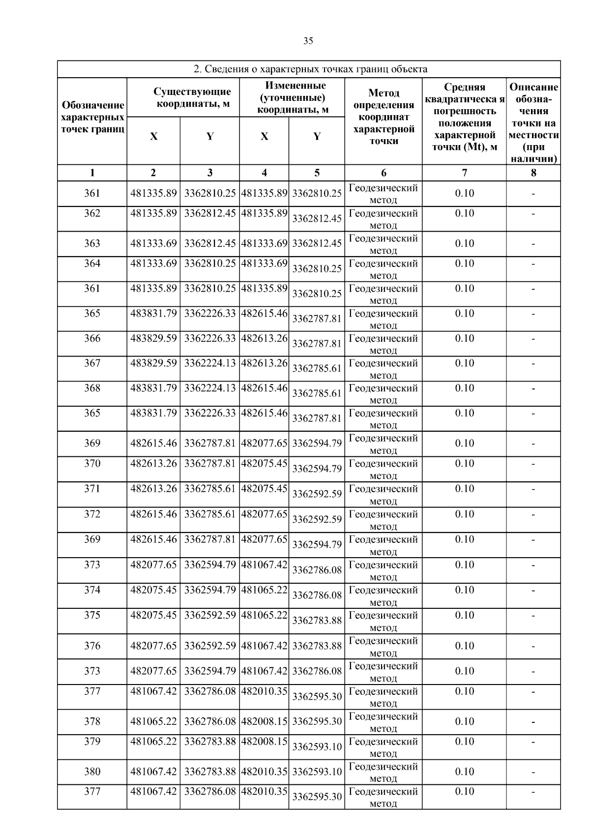
Страница №37 из 56:
Увеличить