Официальное опубликование правовых актов
ОФИЦИАЛЬНОЕ ОПУБЛИКОВАНИЕ
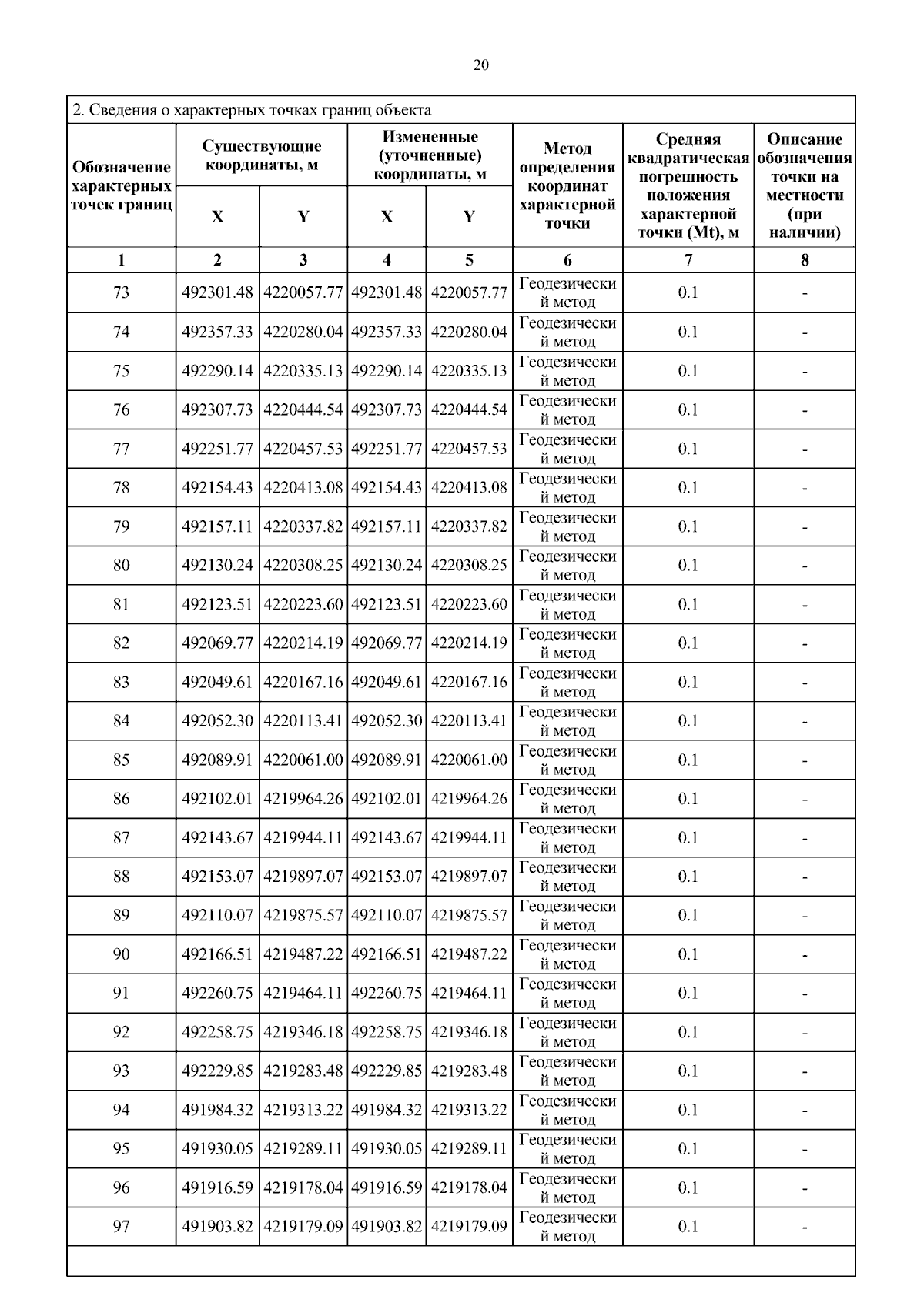
Приказ Министерства строительства Новосибирской области от 07.06.2024 № 103-НПА
"О внесении изменений в приказ министерства строительства Новосибирской области от 26.10.2020 № 556"
(Зарегистрирован 07.06.2024 № 103-НПА)
Номер опубликования: 5401202406100009
Дата опубликования: 10.06.2024
Страница №30 из 62:
Увеличить