Официальное опубликование правовых актов
ОФИЦИАЛЬНОЕ ОПУБЛИКОВАНИЕ
Приказ Министерства строительства Новосибирской области от 07.12.2021 № 776
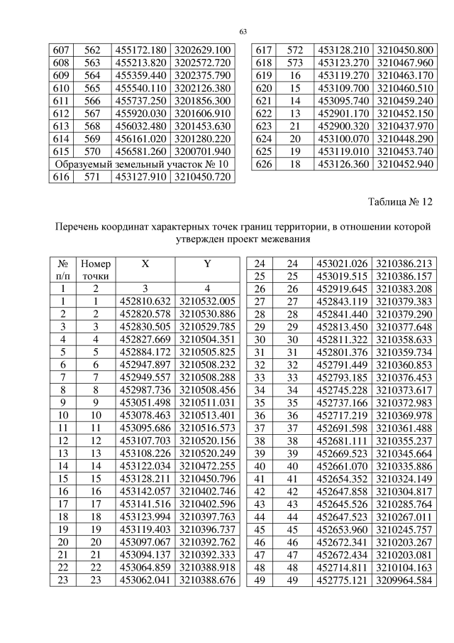
"Об утверждении проекта планировки территории и проекта межевания территории в его составе для реконструкции автомобильной дороги "22 км а/д "К-08" – Сарыбалык – Даниловская Ферма" на участке км 2+065 – км 14+678 в границах Красногривенского сельсовета Доволенского района Новосибирской области"
Номер опубликования: 5401202112070004
Дата опубликования: 07.12.2021
Страница №64 из 69:
Увеличить