Официальное опубликование правовых актов
ОФИЦИАЛЬНОЕ ОПУБЛИКОВАНИЕ
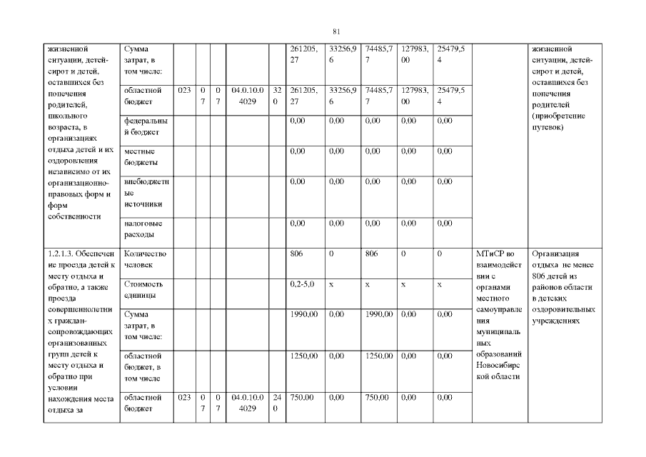
Приказ Министерства труда и социального развития Новосибирской области от 02.03.2021 № 169
"Об утверждении Плана реализации мероприятий государственной программы Новосибирской области"
Номер опубликования: 5401202103040003
Дата опубликования: 04.03.2021
Страница №81 из 236:
Увеличить