Официальное опубликование правовых актов
ОФИЦИАЛЬНОЕ ОПУБЛИКОВАНИЕ
Приказ Министерства строительства Новосибирской области от 12.05.2020 № 282
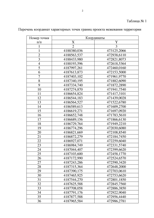
"Об утверждении проекта планировки территории в границах Верх-Тулинского сельсовета Новосибирского района Новосибирской области и проекта межевания территории в его составе"
Номер опубликования: 5401202005120004
Дата опубликования: 12.05.2020
Страница №25 из 33:
Увеличить