Официальное опубликование правовых актов
ОФИЦИАЛЬНОЕ ОПУБЛИКОВАНИЕ
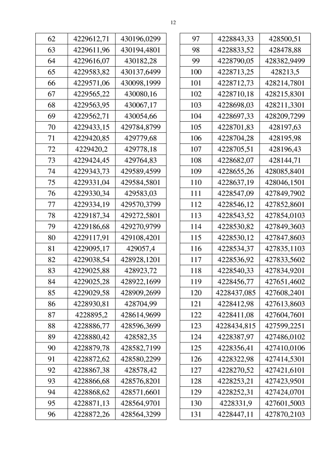
Приказ Министерства строительства Новосибирской области от 13.04.2020 № 221
"Об утверждении проекта планировки территории для размещения железнодорожных путей необщего пользования в границах Евсинского сельсовета Искитимского района Новосибирской области и проекта межевания территории в его составе"
Номер опубликования: 5401202004130001
Дата опубликования: 13.04.2020
Страница №14 из 31:
Увеличить