Официальное опубликование правовых актов
ОФИЦИАЛЬНОЕ ОПУБЛИКОВАНИЕ
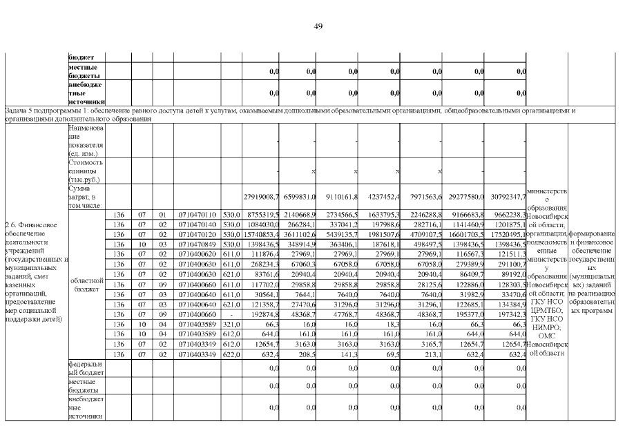
Приказ Министерства образования Новосибирской области от 28.10.2019 № 2668
"О внесении изменений в приказ министерства образования Новосибирской области от 03.07.2019 № 1517"
Номер опубликования: 5401201910300004
Дата опубликования: 30.10.2019
Страница №53 из 163:
Увеличить