Официальное опубликование правовых актов
ОФИЦИАЛЬНОЕ ОПУБЛИКОВАНИЕ
Приказ Министерства строительства Новосибирской области от 09.09.2019 № 525
"Об утверждении генерального плана Березовского сельсовета Новосибирского района Новосибирской области"
Номер опубликования: 5401201909090003
Дата опубликования: 09.09.2019
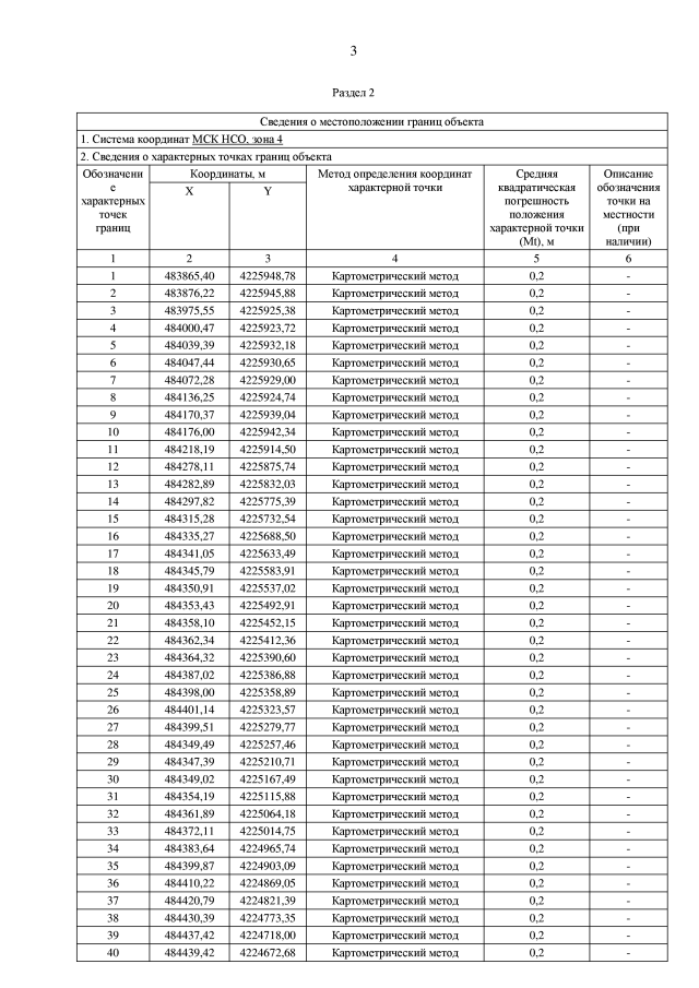
Страница №20 из 86:
Увеличить