Официальное опубликование правовых актов
ОФИЦИАЛЬНОЕ ОПУБЛИКОВАНИЕ
Приказ Министерства строительства Новосибирской области от 09.08.2019 № 480
"Об утверждении генерального плана городского поселения рабочий поселок Линево Искитимского района Новосибирской области"
Номер опубликования: 5401201908090006
Дата опубликования: 09.08.2019
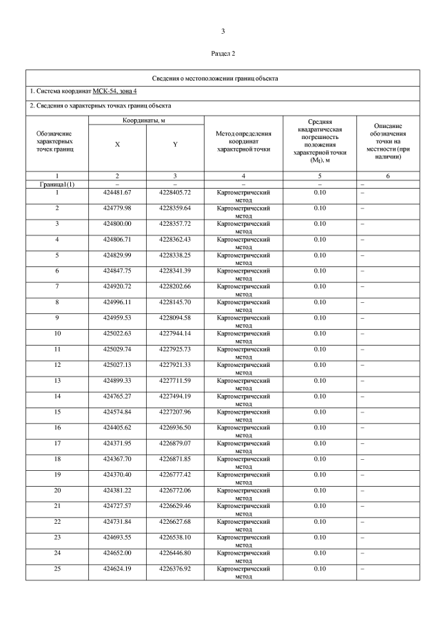
Страница №19 из 26:
Увеличить