Официальное опубликование правовых актов
ОФИЦИАЛЬНОЕ ОПУБЛИКОВАНИЕ
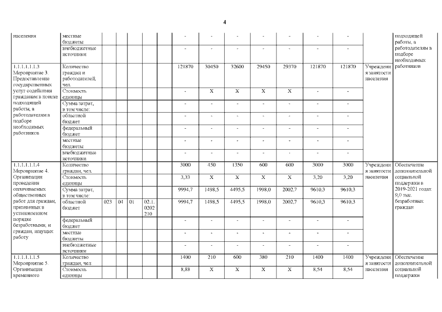
Приказ Министерства труда и социального развития Новосибирской области от 31.07.2019 № 818
"О внесении изменений в приказ министерства труда и социального развития Новосибирской области от 13.02.2019 № 138"
Номер опубликования: 5401201908010002
Дата опубликования: 01.08.2019
Страница №4 из 75:
Увеличить