Приказ Инспекции государственного строительного надзора Новосибирской области от 29.11.2018 № 10
"О внесении изменений в административный регламент предоставления инспекцией государственного строительного надзора Новосибирской области государственной услуги по выдаче заключения о соответствии построенного, реконструированного объекта капитального строительства требованиям технических регламентов (норм и правил), иных нормативных правовых актов и проектной документации, в том числе требованиям в отношении энергетической эффективности и требованиям в отношении оснащенности объекта капитального строительства приборами учета используемых энергетических ресурсов, утвержденный приказом инспекции от 01.10.2014 № 2"
"О внесении изменений в административный регламент предоставления инспекцией государственного строительного надзора Новосибирской области государственной услуги по выдаче заключения о соответствии построенного, реконструированного объекта капитального строительства требованиям технических регламентов (норм и правил), иных нормативных правовых актов и проектной документации, в том числе требованиям в отношении энергетической эффективности и требованиям в отношении оснащенности объекта капитального строительства приборами учета используемых энергетических ресурсов, утвержденный приказом инспекции от 01.10.2014 № 2"
Номер опубликования: 5401201811290018
Дата опубликования:
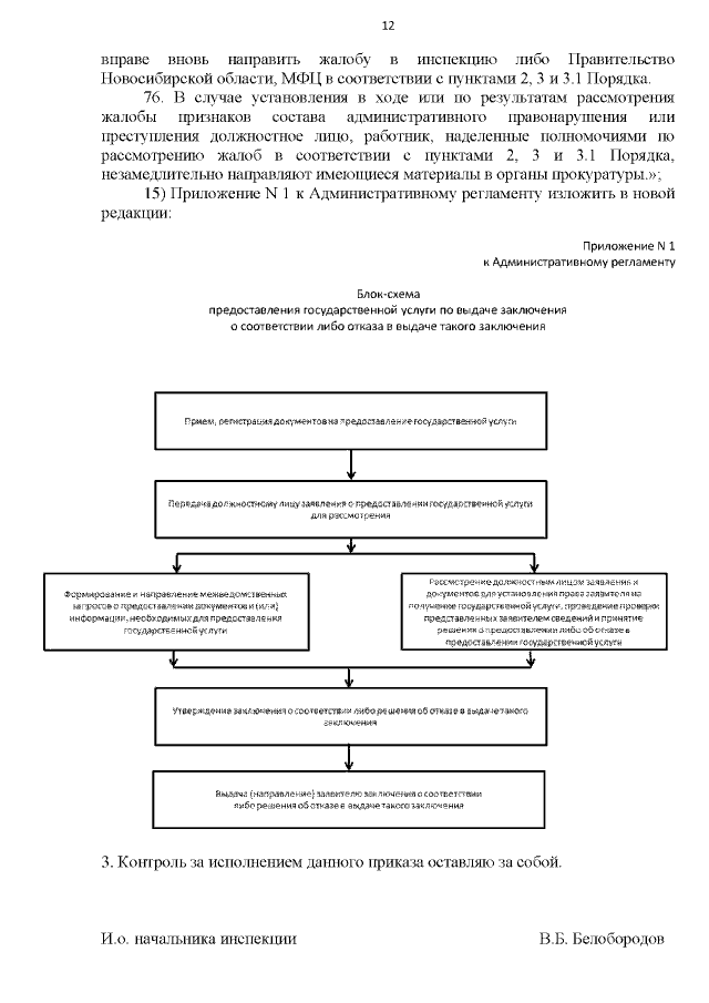
29.11.2018
