Официальное опубликование правовых актов
ОФИЦИАЛЬНОЕ ОПУБЛИКОВАНИЕ
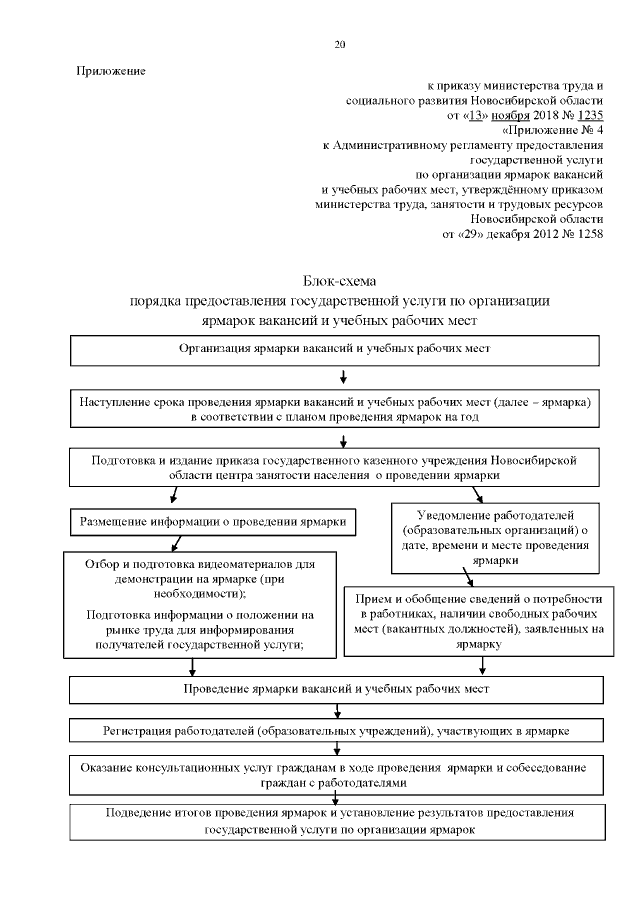
Приказ Министерства труда и социального развития Новосибирской области от 13.11.2018 № 1235
"О внесении изменений в приказ министерства труда, занятости и трудовых ресурсов Новосибирской области от 29.12.2012 № 1258"
Номер опубликования: 5401201811140002
Дата опубликования: 14.11.2018
Страница №20 из 20:
Увеличить