Официальное опубликование правовых актов
ОФИЦИАЛЬНОЕ ОПУБЛИКОВАНИЕ
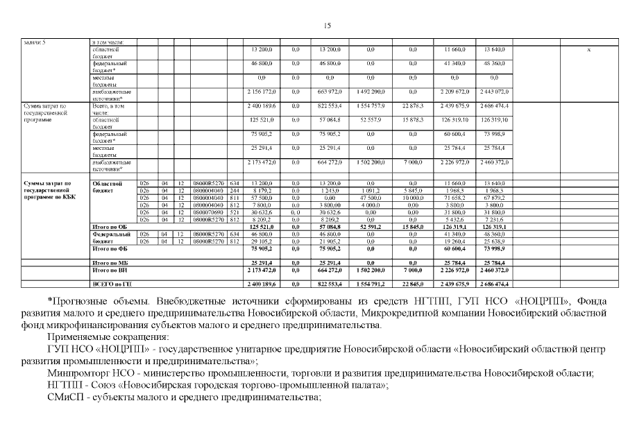
Приказ Министерства промышленности, торговли и развития предпринимательства Новосибирской области от 19.10.2018 № 301 "О внесении изменений в приказ министерства промышленности, торговли и развития предпринимательства Новосибирской области от 24.05.2018 № 148"
Номер опубликования: 5401201810220001
Дата опубликования: 22.10.2018
Страница №16 из 17:
Увеличить