Официальное опубликование правовых актов
ОФИЦИАЛЬНОЕ ОПУБЛИКОВАНИЕ
Постановление Правительства Новосибирской области от 23.12.2024 № 598-п
"О внесении изменений в постановление Правительства Новосибирской области от 27.12.2023 № 656-п"
Номер опубликования: 5400202412250003
Дата опубликования: 25.12.2024
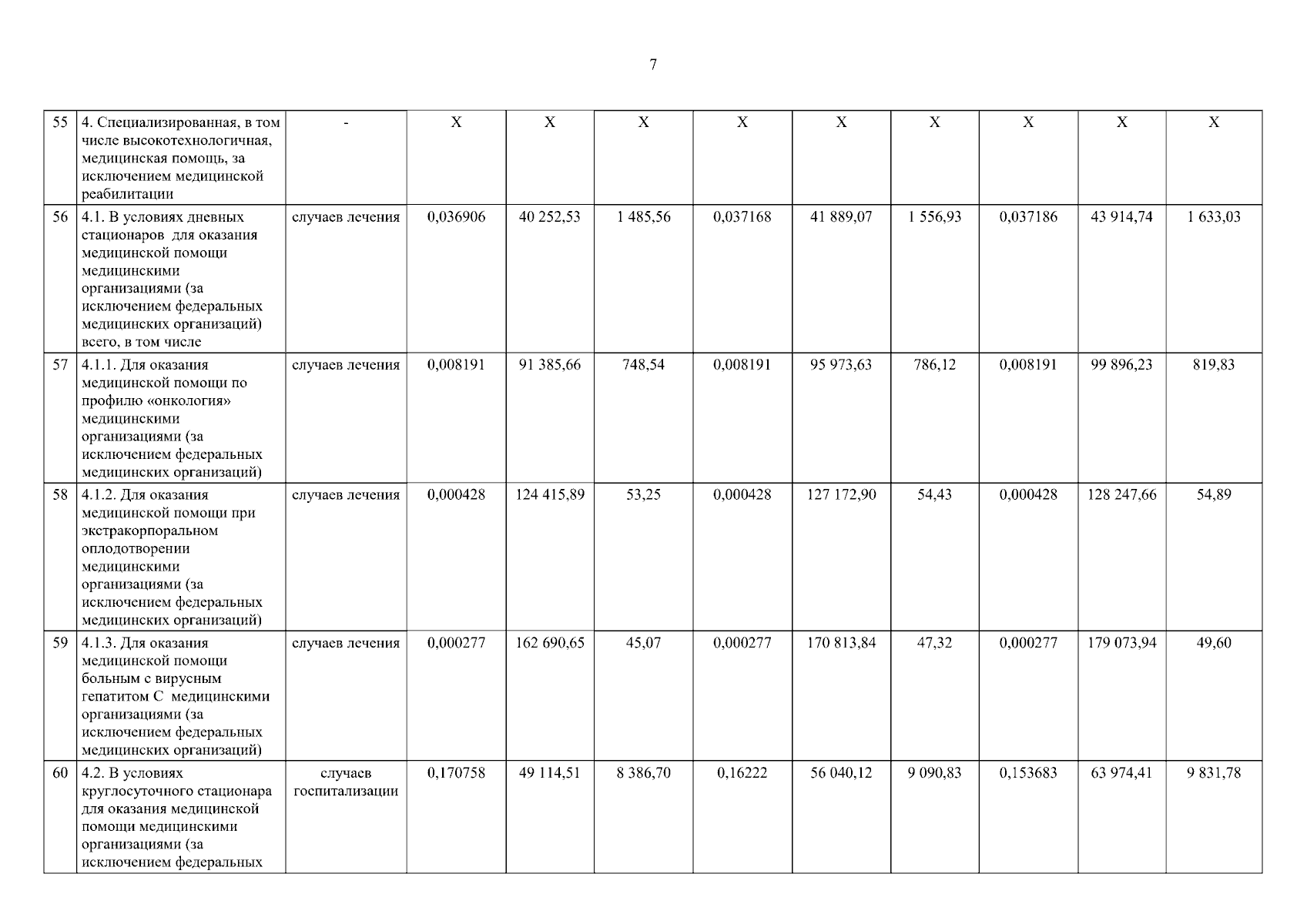
Страница №316 из 321:
Увеличить