Официальное опубликование правовых актов
ОФИЦИАЛЬНОЕ ОПУБЛИКОВАНИЕ
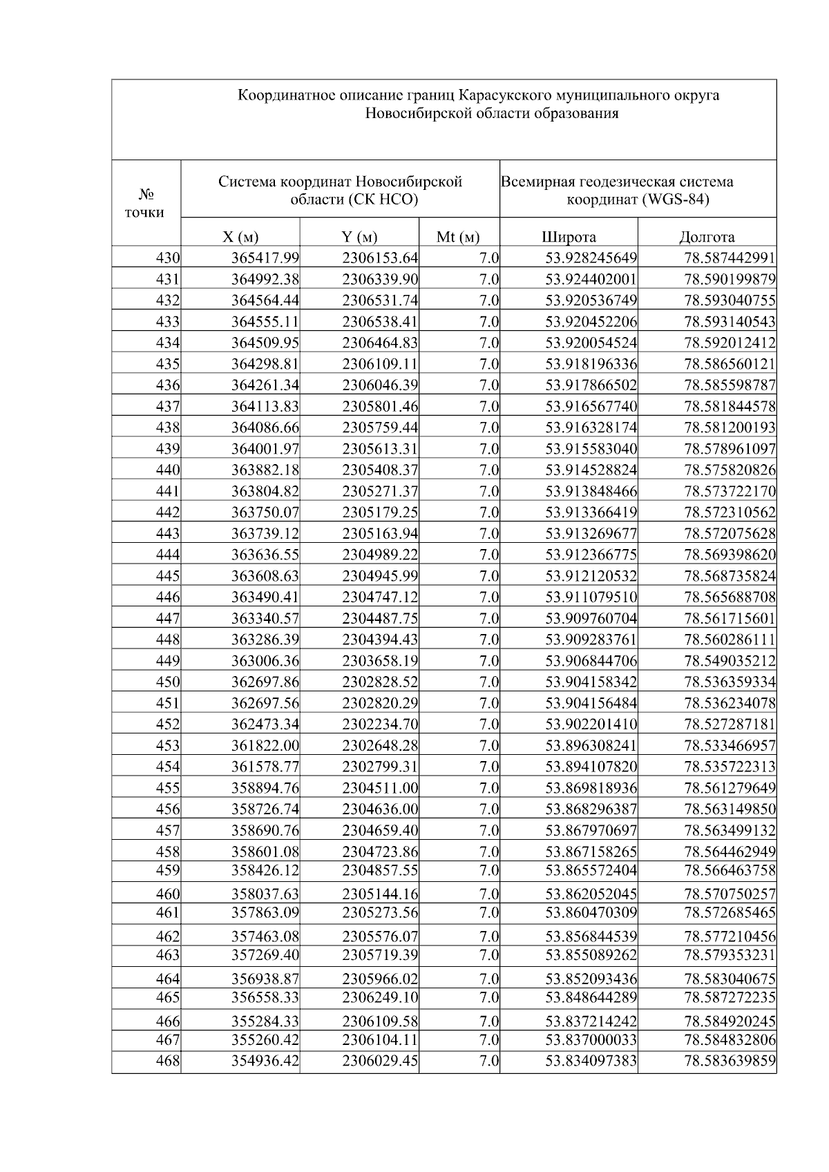
Закон Новосибирской области от 05.06.2024 № 448-ОЗ
"Об объединении муниципальных образований, входящих в состав Карасукского муниципального района Новосибирской области, и о внесении изменений в отдельные законы Новосибирской области"
Номер опубликования: 5400202406050010
Дата опубликования: 05.06.2024
Страница №24 из 36: