Официальное опубликование правовых актов
ОФИЦИАЛЬНОЕ ОПУБЛИКОВАНИЕ
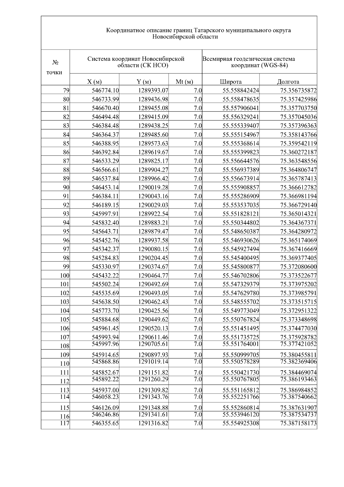
Закон Новосибирской области от 05.06.2024 № 450-ОЗ
"Об объединении муниципальных образований, входящих в состав Татарского муниципального района Новосибирской области, и о внесении изменений в отдельные законы Новосибирской области"
Номер опубликования: 5400202406050003
Дата опубликования: 05.06.2024
Страница №16 из 48:
Увеличить