Официальное опубликование правовых актов
ОФИЦИАЛЬНОЕ ОПУБЛИКОВАНИЕ
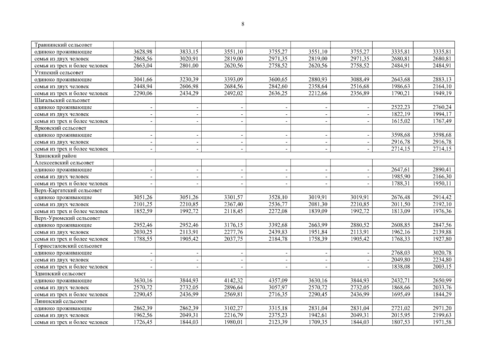
Постановление Губернатора Новосибирской области от 15.03.2024 № 47
"Об установлении региональных стандартов оплаты жилого помещения и коммунальных услуг в Новосибирской области на 2024 год"
Номер опубликования: 5400202403180001
Дата опубликования: 18.03.2024
Страница №10 из 49:
Увеличить