Официальное опубликование правовых актов
ОФИЦИАЛЬНОЕ ОПУБЛИКОВАНИЕ
Постановление Правительства Новосибирской области от 14.03.2023 № 85-п
"О внесении изменений в постановление Правительства Новосибирской области от 30.03.2022 № 144-п"
Номер опубликования: 5400202303160001
Дата опубликования: 16.03.2023
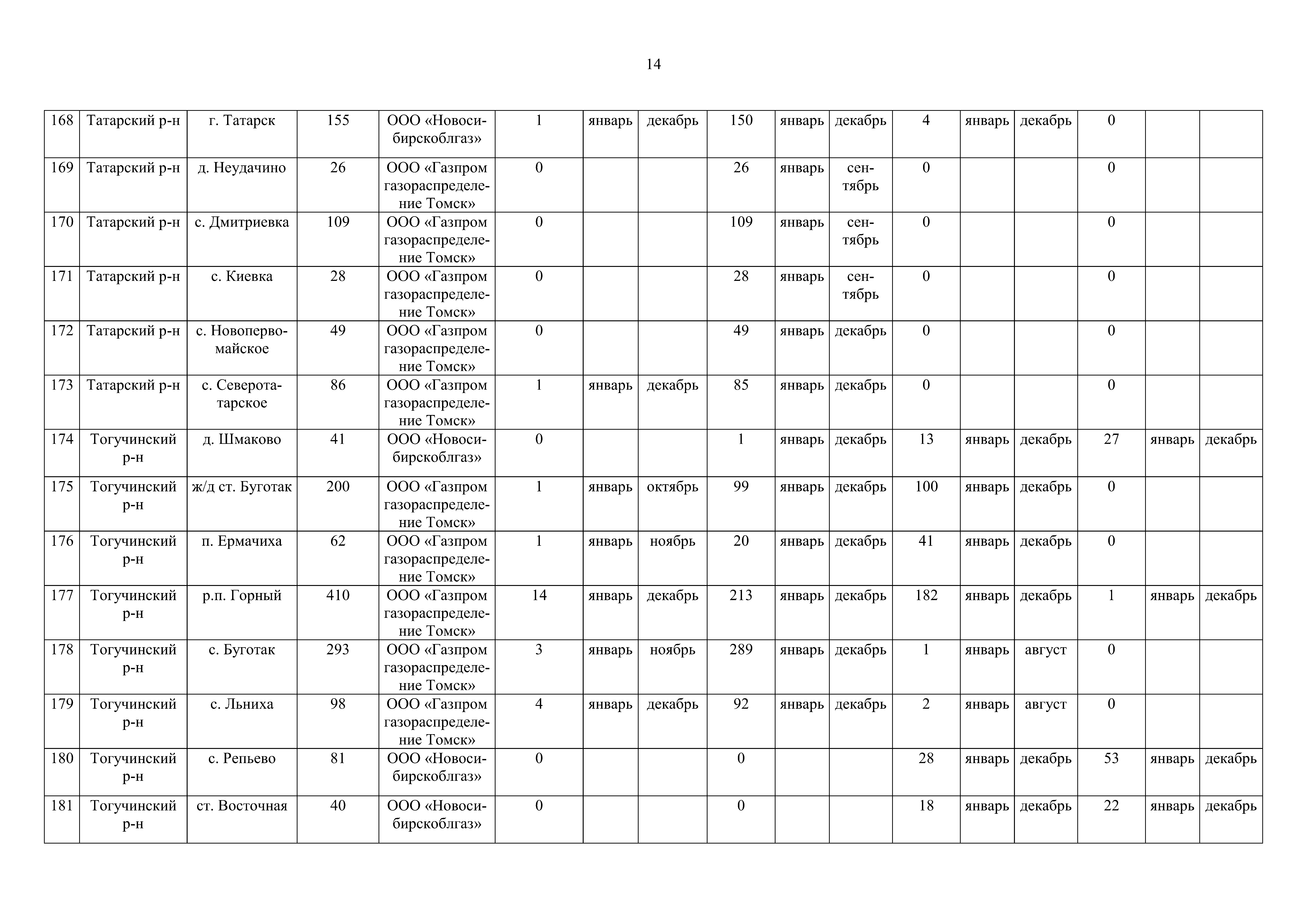
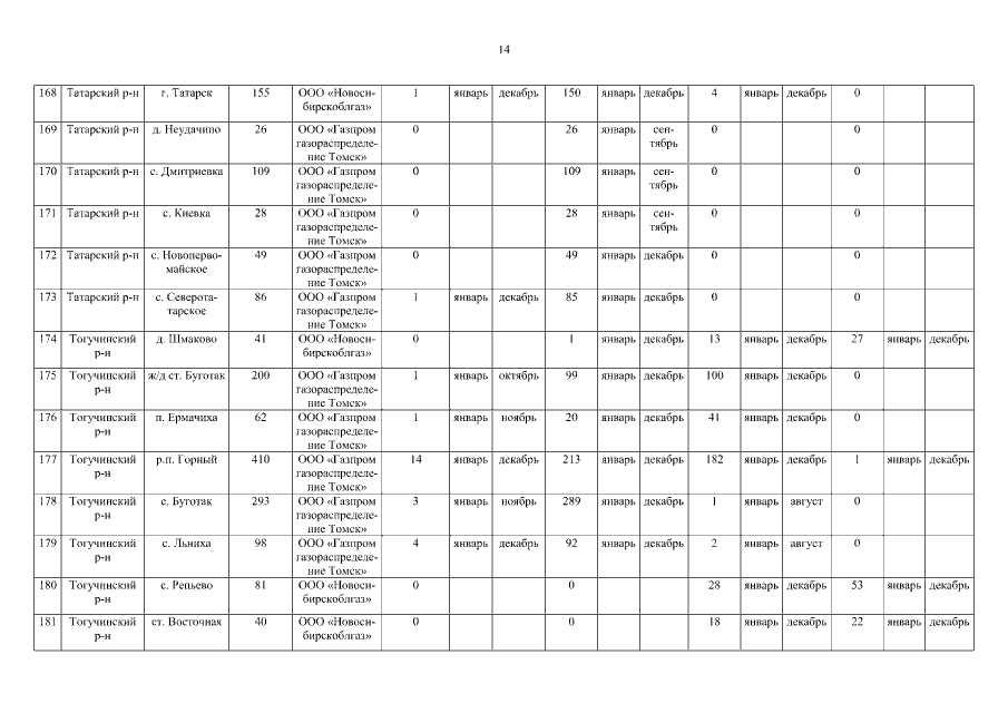
Страница №2963 из 2965: