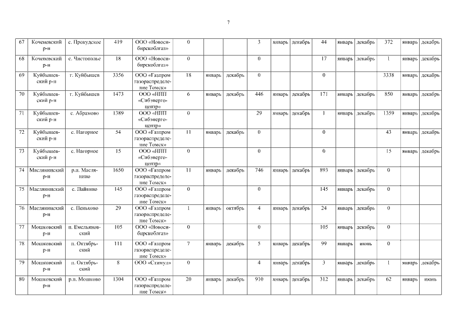
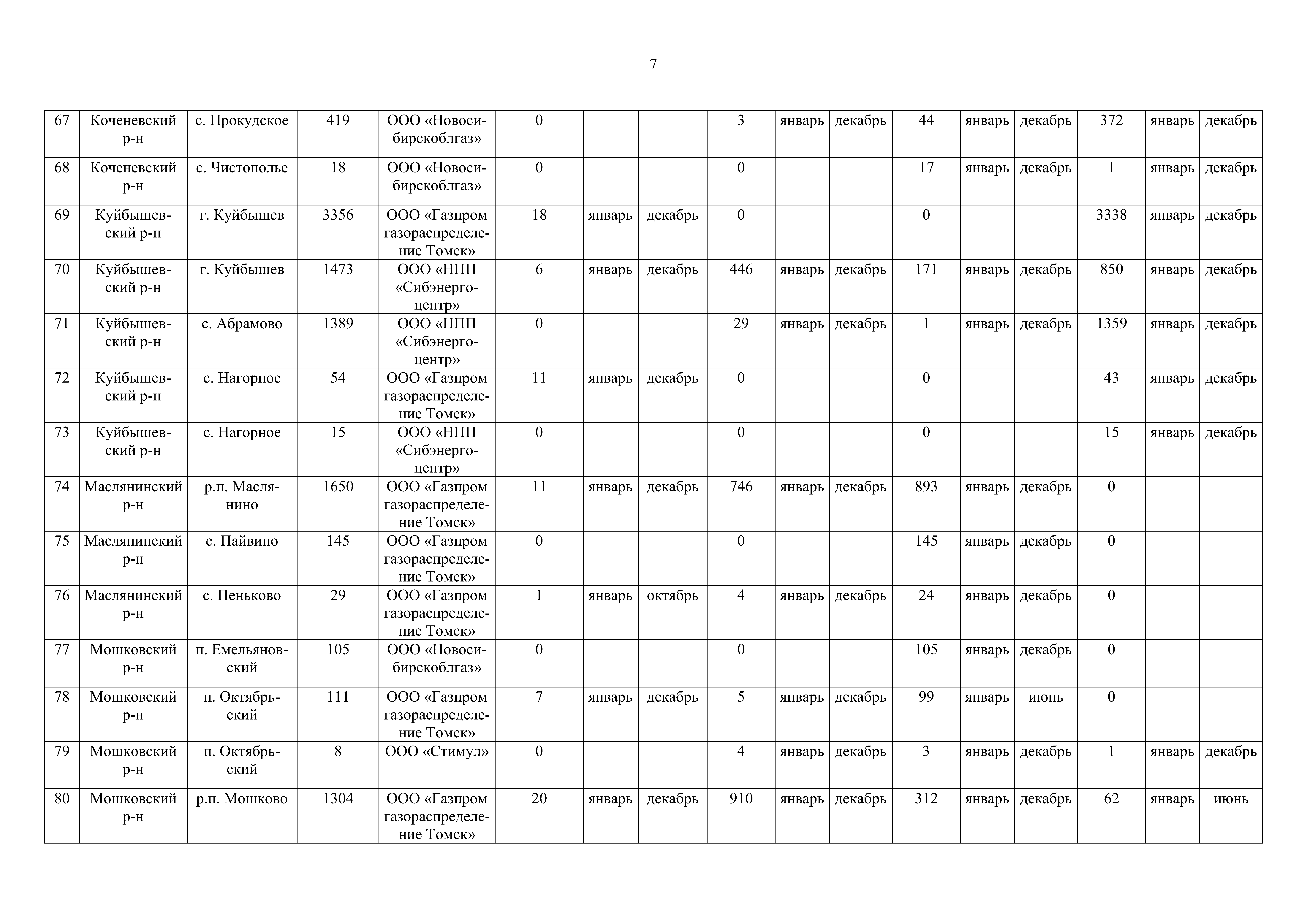
Постановление Правительства Новосибирской области от 14.03.2023 № 85-п
"О внесении изменений в постановление Правительства Новосибирской области от 30.03.2022 № 144-п"
"О внесении изменений в постановление Правительства Новосибирской области от 30.03.2022 № 144-п"
Номер опубликования: 5400202303160001
Дата опубликования:
16.03.2023
