Официальное опубликование правовых актов
ОФИЦИАЛЬНОЕ ОПУБЛИКОВАНИЕ
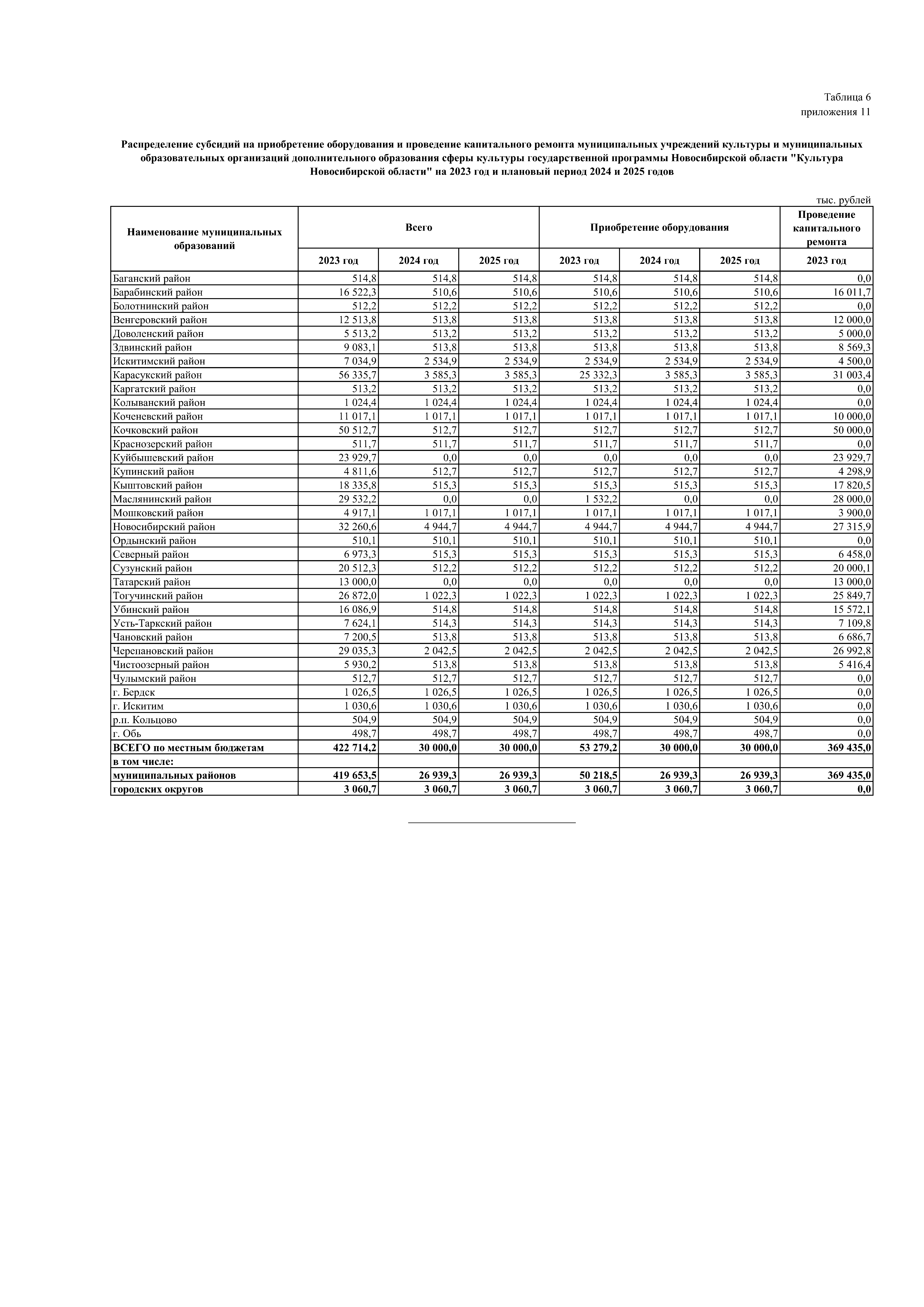
Закон Новосибирской области от 23.12.2022 № 307-ОЗ
"Об областном бюджете Новосибирской области на 2023 год и плановый период 2024 и 2025 годов"
Номер опубликования: 5400202212230005
Дата опубликования: 23.12.2022
Страница №584 из 699: