Официальное опубликование правовых актов
ОФИЦИАЛЬНОЕ ОПУБЛИКОВАНИЕ
Постановление Правительства Новосибирской области от 04.10.2022 № 456-п
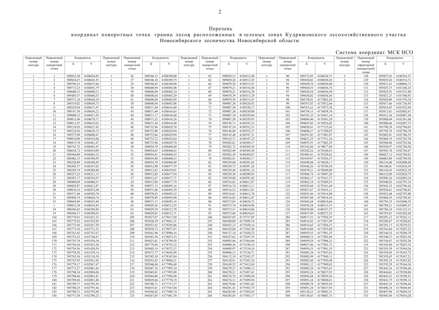
"Об утверждении документации по проектированию (изменению) границ лесов, расположенных в лесопарковых и зеленых зонах Новосибирского лесничества Новосибирской области, и внесении изменений в постановление Правительства Новосибирской области от 25.09.2020 № 408-п"
Номер опубликования: 5400202210060007
Дата опубликования: 06.10.2022
Страница №33 из 108: