Официальное опубликование правовых актов
ОФИЦИАЛЬНОЕ ОПУБЛИКОВАНИЕ
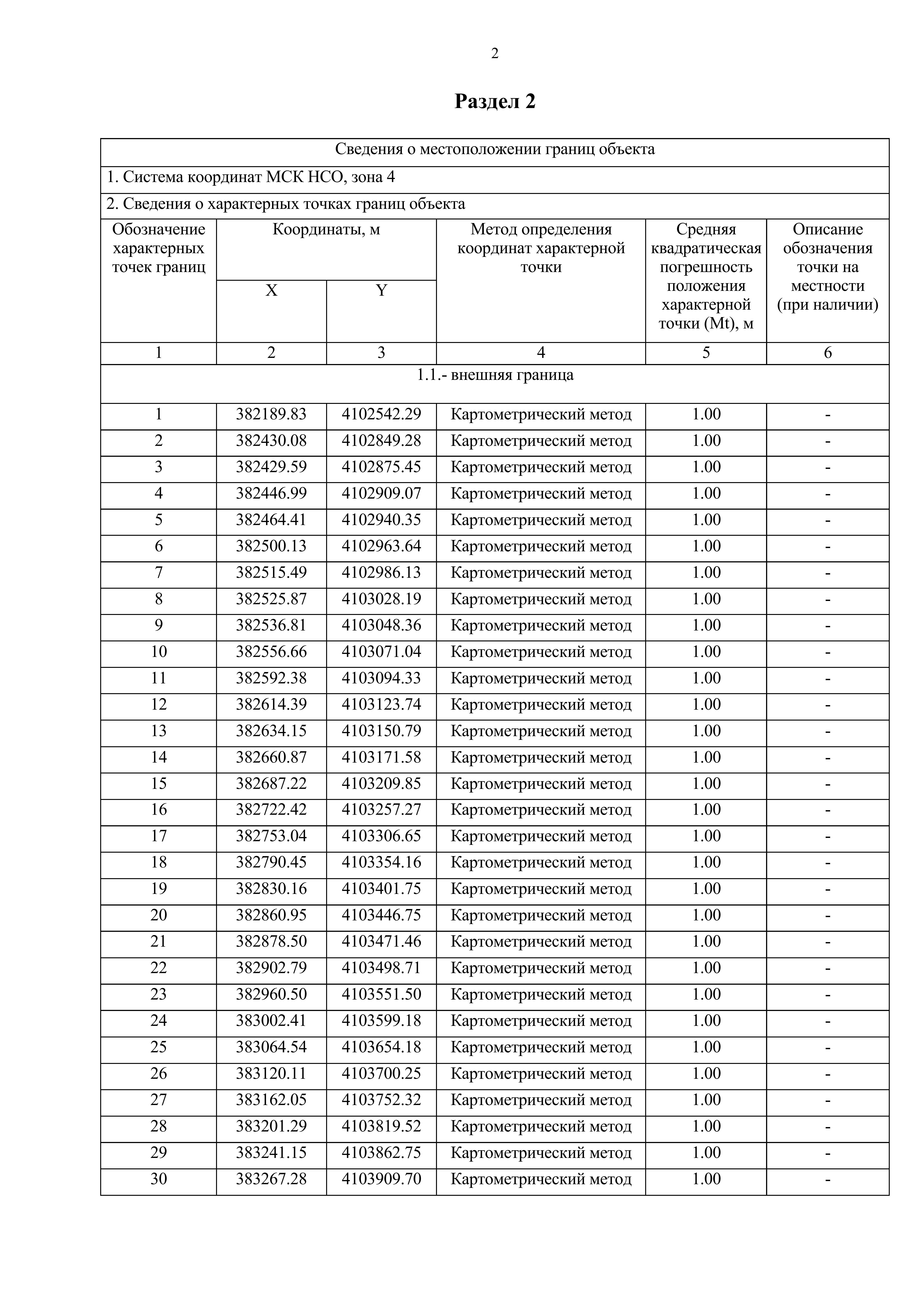
Постановление Правительства Новосибирской области от 17.08.2022 № 389-п
"О создании особо охраняемой природной территории регионального значения – природного парка "Караканский бор" Новосибирской области и об утверждении Положения об особо охраняемой природной территории регионального значения – природного парка "Караканский бор" Новосибирской области"
Номер опубликования: 5400202208170001
Дата опубликования: 17.08.2022
Страница №3 из 203: