Официальное опубликование правовых актов
ОФИЦИАЛЬНОЕ ОПУБЛИКОВАНИЕ
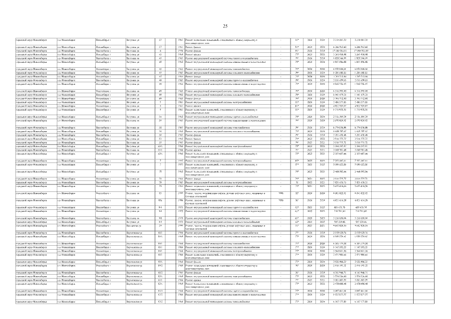
Постановление Правительства Новосибирской области от 19.07.2022 № 331-п
"Об утверждении краткосрочного (сроком на три года) плана реализации региональной программы капитального ремонта общего имущества в многоквартирных домах, расположенных на территории Новосибирской области, на 2023–2025 годы"
Номер опубликования: 5400202207200009
Дата опубликования: 20.07.2022
Страница №26 из 131: