Официальное опубликование правовых актов
ОФИЦИАЛЬНОЕ ОПУБЛИКОВАНИЕ
Постановление Правительства Новосибирской области от 04.04.2022 № 150-п
"О внесении изменений в постановление Правительства Новосибирской области от 26.09.2016 № 292-п"
Номер опубликования: 5400202204060002
Дата опубликования: 06.04.2022
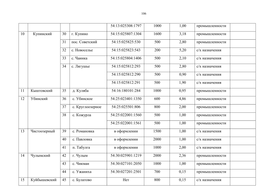
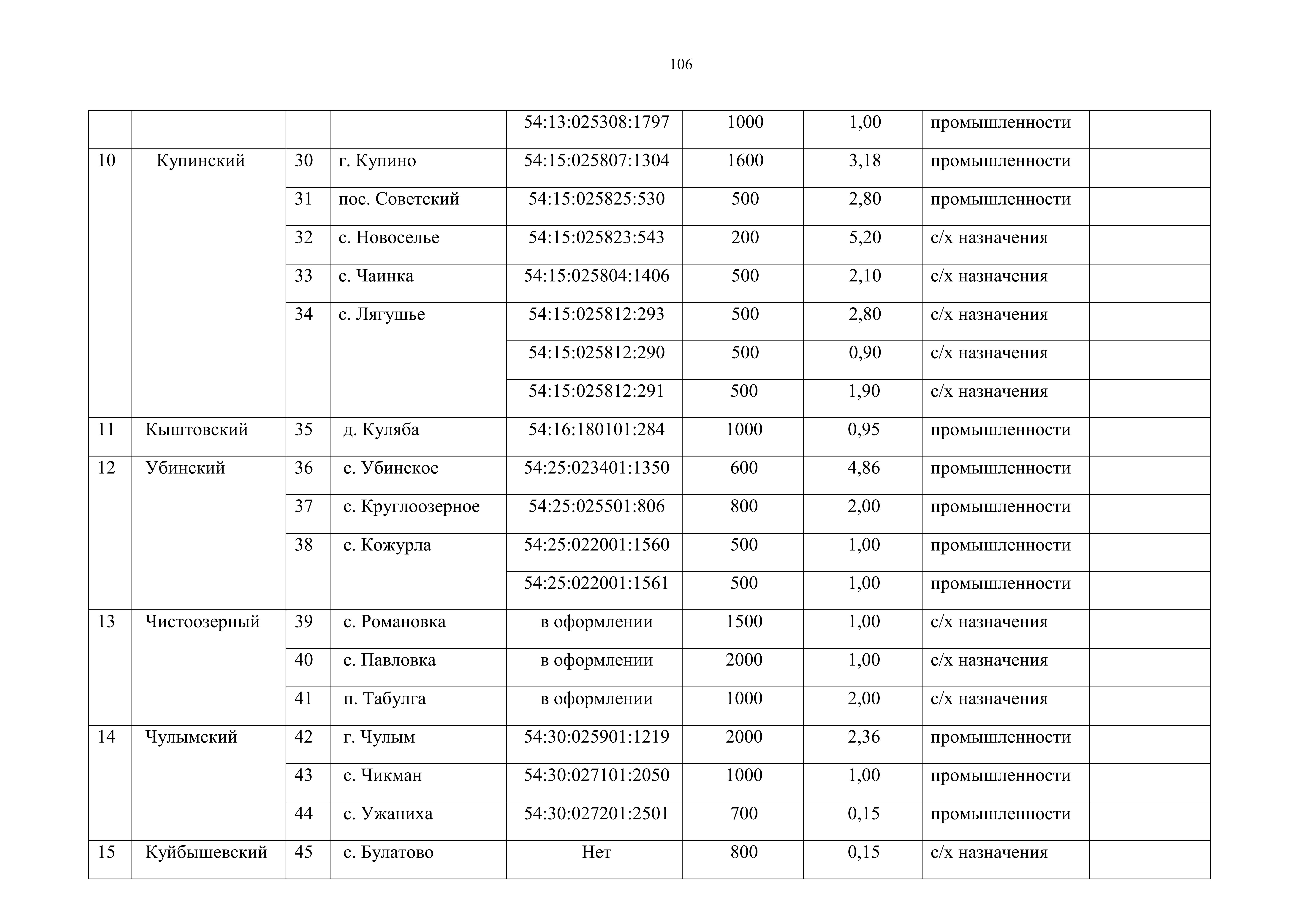
Страница №107 из 797: