Официальное опубликование правовых актов
ОФИЦИАЛЬНОЕ ОПУБЛИКОВАНИЕ
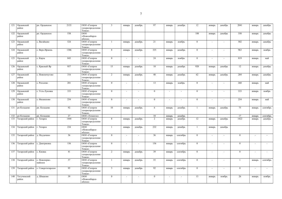
Постановление Правительства Новосибирской области от 30.03.2022 № 144-п
"Об утверждении Региональной программы газификации жилищно-коммунального хозяйства, промышленных и иных организаций на территории Новосибирской области"
Номер опубликования: 5400202203310009
Дата опубликования: 31.03.2022
Страница №1081 из 1083:
Увеличить