Официальное опубликование правовых актов
ОФИЦИАЛЬНОЕ ОПУБЛИКОВАНИЕ
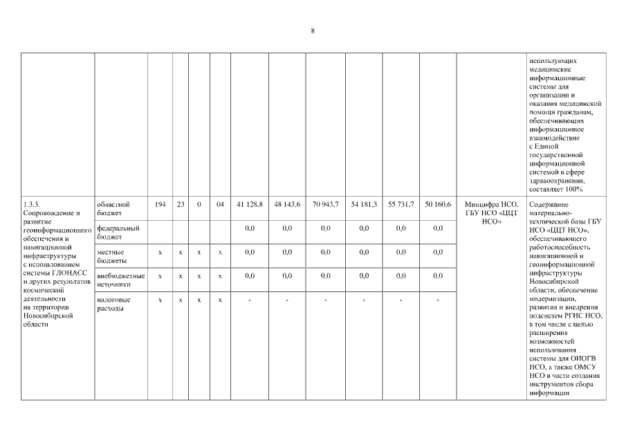
Постановление Правительства Новосибирской области от 29.03.2022 № 124-п
"О внесении изменений в постановление Правительства Новосибирской области от 31.12.2019 № 515-п"
Номер опубликования: 5400202203300020
Дата опубликования: 30.03.2022
Страница №12 из 20:
Увеличить