Официальное опубликование правовых актов
ОФИЦИАЛЬНОЕ ОПУБЛИКОВАНИЕ
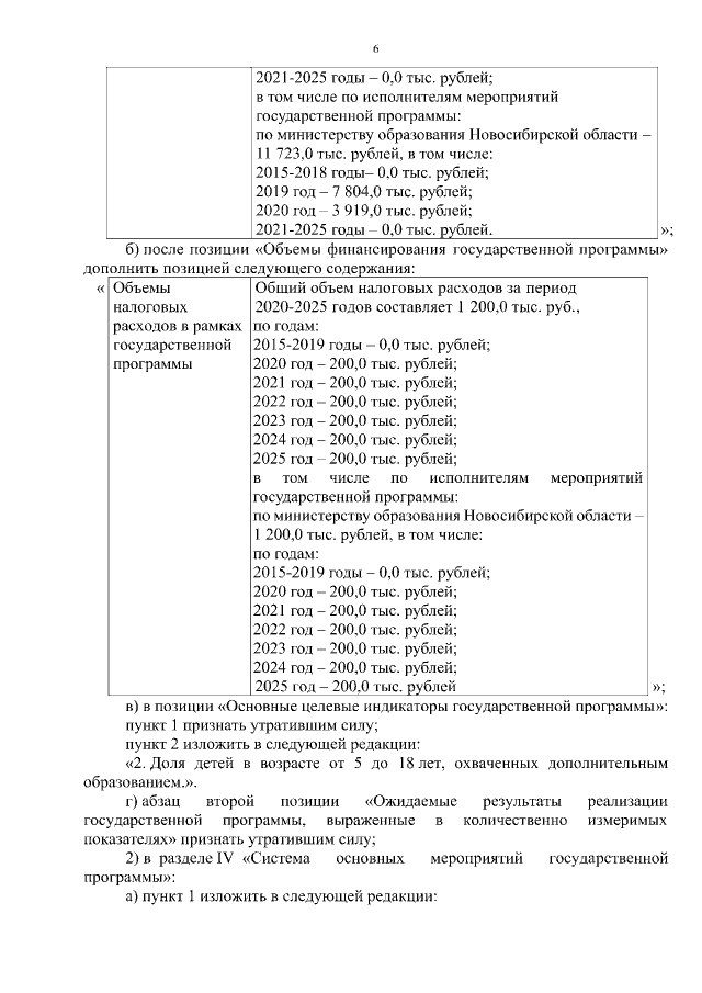
Постановление Правительства Новосибирской области от 16.06.2020 № 236-п
"О внесении изменений в постановление Правительства Новосибирской области от 31.12.2014 № 576-п"
Номер опубликования: 5400202006170019
Дата опубликования: 17.06.2020
Страница №6 из 121:
Увеличить