Официальное опубликование правовых актов
ОФИЦИАЛЬНОЕ ОПУБЛИКОВАНИЕ
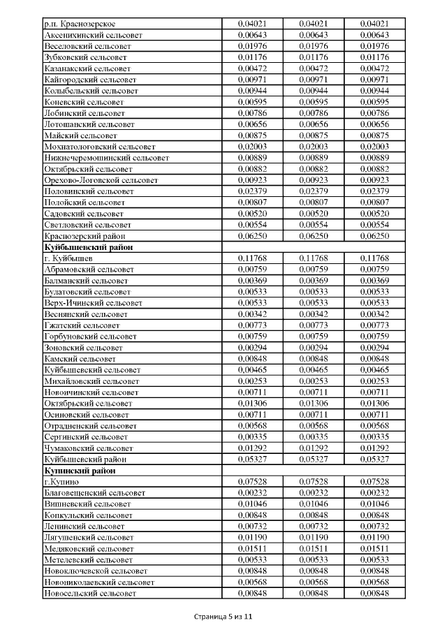
Закон Новосибирской области от 25.12.2018 № 332-ОЗ
"Об областном бюджете Новосибирской области на 2019 год и плановый период 2020 и 2021 годов"
Номер опубликования: 5400201812270001
Дата опубликования: 27.12.2018
Страница №101 из 984:
Увеличить