Официальное опубликование правовых актов
ОФИЦИАЛЬНОЕ ОПУБЛИКОВАНИЕ
Постановление Правительства Новосибирской области от 21.08.2018 № 354-п
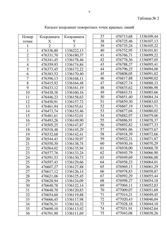
"Об утверждении проекта планировки территории для размещения объекта регионального значения автомобильной дороги регионального значения "992 км а/д "М-51" – Купино – Карасук" на участке км 25+500 – км 29+880 в границах муниципального образования Казаткульский сельсовет Татарского района Новосибирской области и проекта межевания территории в его составе"
Номер опубликования: 5400201808220013
Дата опубликования: 22.08.2018
Страница №10 из 64:
Увеличить