Официальное опубликование правовых актов
ОФИЦИАЛЬНОЕ ОПУБЛИКОВАНИЕ
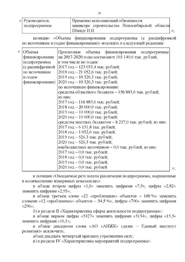
Постановление Правительства Новосибирской области от 06.07.2018 № 287-п
"О внесении изменений в постановление Правительства Новосибирской области от 20.02.2015 № 68-п"
Номер опубликования: 5400201807090001
Дата опубликования: 09.07.2018
Страница №10 из 78:
Увеличить