Официальное опубликование правовых актов
ОФИЦИАЛЬНОЕ ОПУБЛИКОВАНИЕ
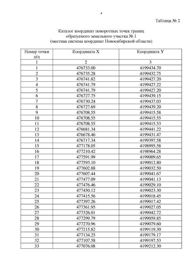
Постановление Правительства Новосибирской области от 26.06.2018 № 275-п
"Об утверждении проекта планировки территории для размещения объекта регионального значения автомобильной дороги межмуниципального значения "Советское шоссе" в границах муниципального образования Мичуринский сельсовет Новосибирского района Новосибирской области и проекта межевания территории в его составе"
Номер опубликования: 5400201807020001
Дата опубликования: 02.07.2018
Страница №16 из 19:
Увеличить