Официальное опубликование правовых актов
ОФИЦИАЛЬНОЕ ОПУБЛИКОВАНИЕ
Постановление Правительства Новосибирской области от 19.06.2018 № 247-п
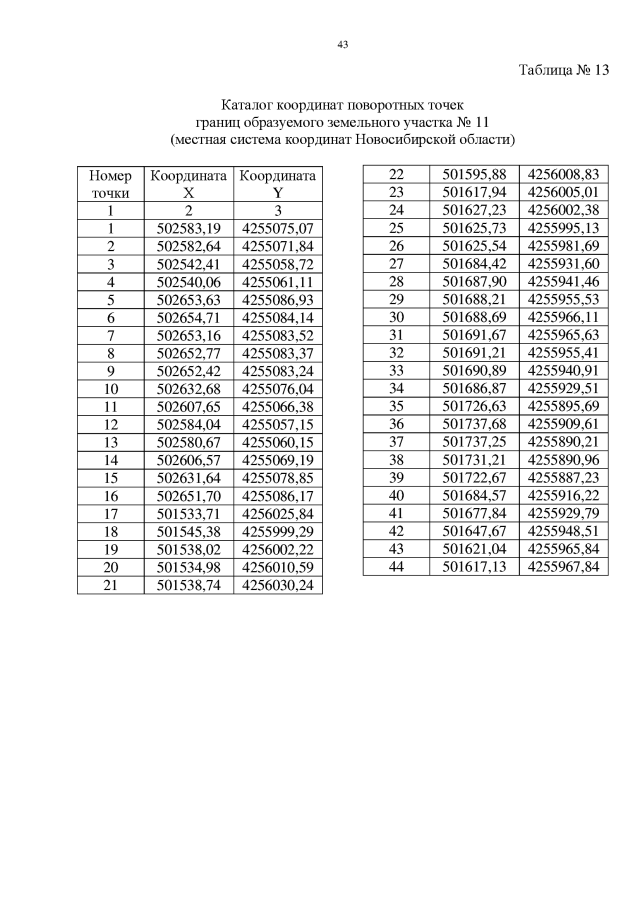
"Об утверждении проекта планировки территории для размещения объекта регионального значения автомобильной дороги "Обход села Сарапулка" с мостом через реку Иня в границах муниципального образования Сарапульский сельсовет Мошковского района Новосибирской области и муниципального образования Буготакский сельсовет Тогучинского района Новосибирской области и проекта межевания территории в его составе"
Номер опубликования: 5400201806220008
Дата опубликования: 22.06.2018
Страница №67 из 76:
Увеличить