Официальное опубликование правовых актов
ОФИЦИАЛЬНОЕ ОПУБЛИКОВАНИЕ
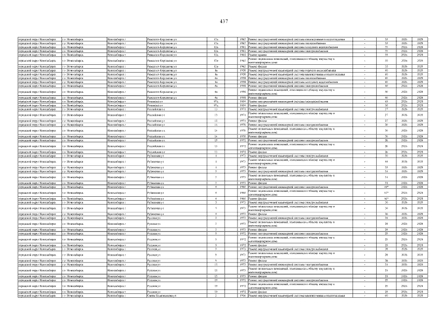
Постановление Правительства Новосибирской области от 28.04.2018 № 164-п
"О внесении изменений в постановление Правительства Новосибирской области от 27.11.2013 № 524-п"
Номер опубликования: 5400201805040026
Дата опубликования: 04.05.2018
Страница №438 из 1555:
Увеличить