Официальное опубликование правовых актов
ОФИЦИАЛЬНОЕ ОПУБЛИКОВАНИЕ
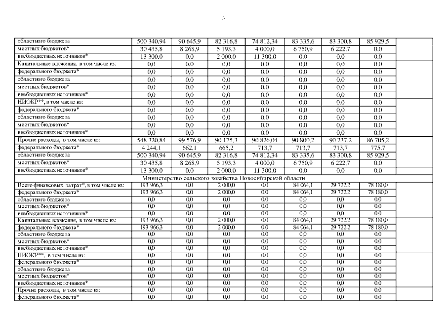
Постановление Правительства Новосибирской области от 12.03.2018 № 85-п
"О внесении изменений в постановление Правительства Новосибирской области от 03.02.2015 № 46-п"
Номер опубликования: 5400201803140007
Дата опубликования: 14.03.2018
Страница №33 из 34:
Увеличить