Официальное опубликование правовых актов
ОФИЦИАЛЬНОЕ ОПУБЛИКОВАНИЕ
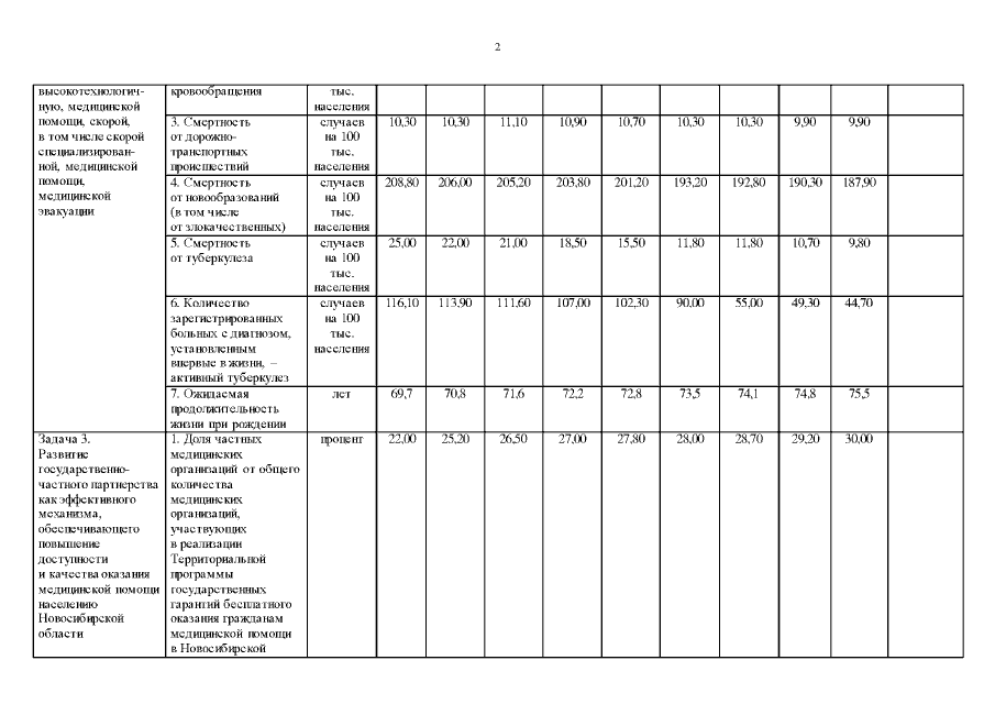
Постановление Правительства Новосибирской области от 13.02.2018 № 51-п
"О внесении изменений в постановление Правительства Новосибирской области от 07.05.2013 № 199-п"
Номер опубликования: 5400201802140001
Дата опубликования: 14.02.2018
Страница №36 из 88:
Увеличить