Официальное опубликование правовых актов
ОФИЦИАЛЬНОЕ ОПУБЛИКОВАНИЕ
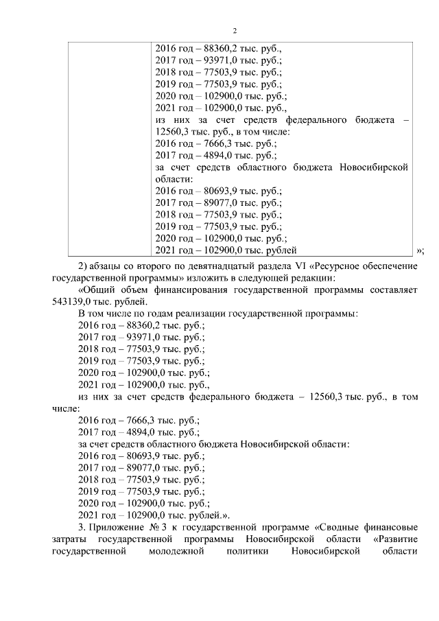
Постановление Правительства Новосибирской области от 19.12.2017 № 447-п
"О внесении изменений в постановление Правительства Новосибирской области от 13.07.2015 № 263-п"
Номер опубликования: 5400201712210001
Дата опубликования: 21.12.2017
Страница №2 из 5:
Увеличить