Официальное опубликование правовых актов
ОФИЦИАЛЬНОЕ ОПУБЛИКОВАНИЕ
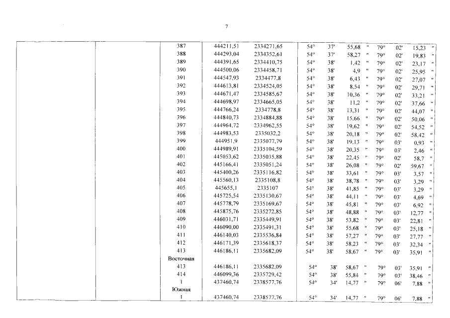
Постановление Правительства Новосибирской области от 04.12.2017 № 440-п
"Об утверждении границ особо охраняемой природной территории регионального значения – государственного природного заказника "Здвинский" Новосибирской области"
Номер опубликования: 5400201712060013
Дата опубликования: 06.12.2017
Страница №8 из 21:
Увеличить