Официальное опубликование правовых актов
ОФИЦИАЛЬНОЕ ОПУБЛИКОВАНИЕ
Постановление Правительства Новосибирской области от 11.10.2017 № 385-п
"О внесении изменений в постановление Правительства Новосибирской области от 15.04.2013 № 161-п"
Номер опубликования: 5400201710120007
Дата опубликования: 12.10.2017
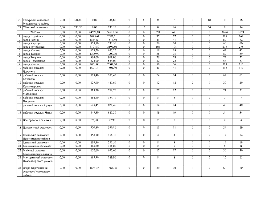
Страница №49 из 50:
Увеличить