Официальное опубликование правовых актов
ОФИЦИАЛЬНОЕ ОПУБЛИКОВАНИЕ
Постановление Правительства Новосибирской области от 05.09.2017 № 334-п
"О внесении изменений в постановление Правительства Новосибирской области от 15.04.2013 № 160-п"
Номер опубликования: 5400201709060005
Дата опубликования: 06.09.2017
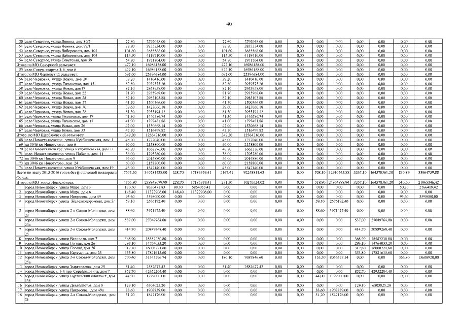
Страница №47 из 55:
Увеличить