Официальное опубликование правовых актов
ОФИЦИАЛЬНОЕ ОПУБЛИКОВАНИЕ
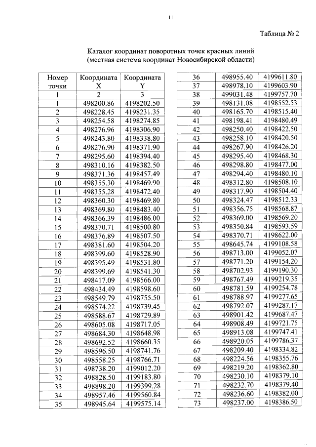
Постановление Правительства Новосибирской области от 15.08.2017 № 318-п
"Об утверждении проекта планировки территории для размещения объекта регионального значения автомобильной дороги межмуниципального значения "Новосибирск – Садовый" в границах муниципальных образований Мочищенский сельсовет и Станционный сельсовет Новосибирского района Новосибирской области и проекта межевания территории в его составе"
Номер опубликования: 5400201708160007
Дата опубликования: 16.08.2017
Страница №14 из 27:
Увеличить