Официальное опубликование правовых актов
ОФИЦИАЛЬНОЕ ОПУБЛИКОВАНИЕ
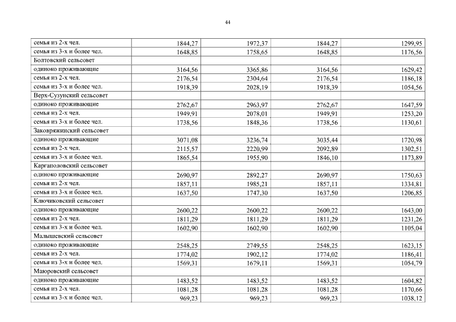
Постановление Губернатора Новосибирской области от 07.08.2017 № 154
"Об установлении региональных стандартов оплаты жилого помещения и коммунальных услуг в Новосибирской области на второе полугодие 2017 года"
Номер опубликования: 5400201708080003
Дата опубликования: 08.08.2017
Страница №46 из 66:
Увеличить