Официальное опубликование правовых актов
ОФИЦИАЛЬНОЕ ОПУБЛИКОВАНИЕ
Постановление Правительства Новосибирской области от 23.05.2017 № 194-п
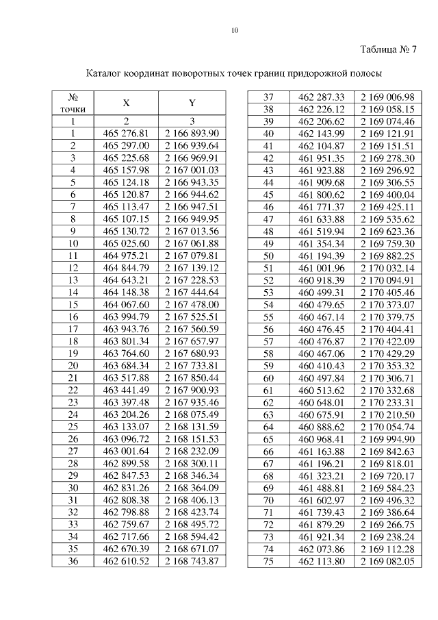
"Об утверждении проекта планировки территории для размещения объекта регионального значения автомобильной дороги регионального значения "992 км а/д "М-51" – Купино – Карасук" на участке км 61+867 – км 67+894 в границах муниципальных образований Елизаветинский сельсовет, Новокулындинский сельсовет, Табулгинский сельсовет Чистоозерного района Новосибирской области и проекта межевания территории в его составе"
Номер опубликования: 5400201705260004
Дата опубликования: 26.05.2017
Страница №34 из 37:
Увеличить