Официальное опубликование правовых актов
ОФИЦИАЛЬНОЕ ОПУБЛИКОВАНИЕ
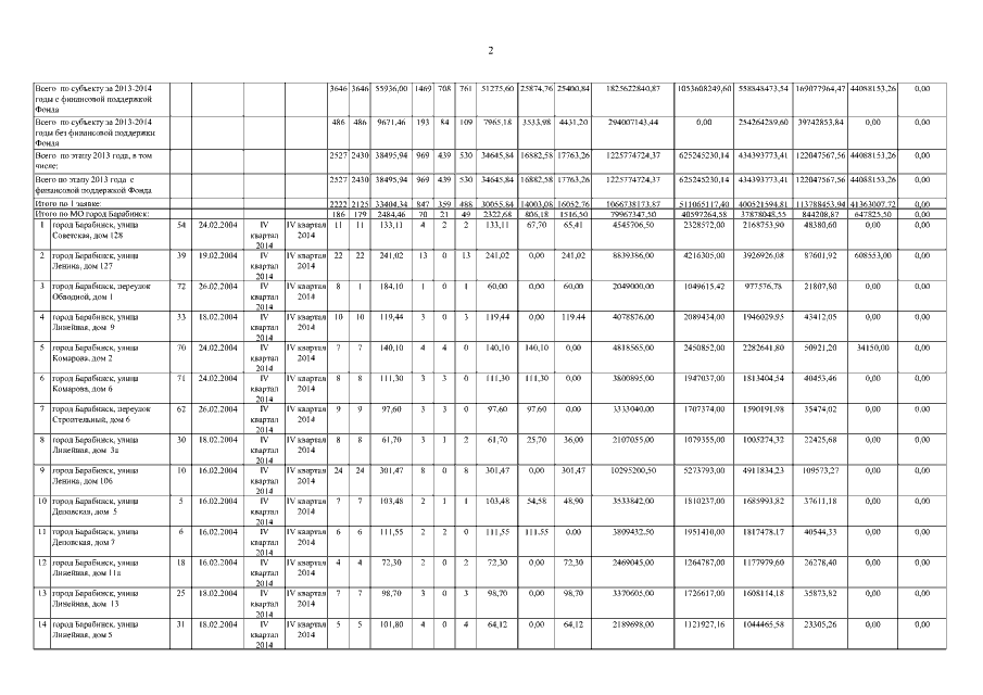
Постановление Правительства Новосибирской области от 22.03.2016 № 80-п
"О внесении изменений в постановление Правительства Новосибирской области от 15.04.2013 № 161-п"
Номер опубликования: 5400201603230003
Дата опубликования: 23.03.2016
Страница №4 из 50:
Увеличить