Официальное опубликование правовых актов
ОФИЦИАЛЬНОЕ ОПУБЛИКОВАНИЕ
Постановление Правительства Новосибирской области от 22.03.2016 № 81-п
"О внесении изменений в постановление Правительства Новосибирской области от 15.04.2013 № 160-п"
Номер опубликования: 5400201603230002
Дата опубликования: 23.03.2016
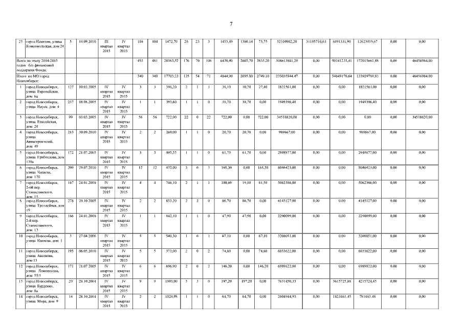
Страница №13 из 55:
Увеличить