Официальное опубликование правовых актов
ОФИЦИАЛЬНОЕ ОПУБЛИКОВАНИЕ
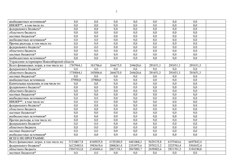
Постановление Правительства Новосибирской области от 24.03.2015 № 98-п
"О внесении изменений в постановление Правительства Новосибирской области от 02.02.2015 № 37-п"
Номер опубликования: 5400201503300001
Дата опубликования: 30.03.2015
Страница №14 из 15:
Увеличить